Sample models
Below, a list of example cases are provided to show the usability of the Modelica/Simulink export plugin for SysML v1 modeling and simulation of physical interactions signal flows. Each example contains a brief description of the example as well as capabilities of the plugin that the example attempts to display.
- Humidifier System Example: Humidifying a Room
- The purpose of this example is to show how a SysML v1 model of a humidifier system, one that is trying to control the humidity in a room, can be created with state machines and signal flows. It is important to note that the signal flows between system components are unidirectional, and physical conservation laws do not apply in these applications because the same signal can be sent to multiple receiving components. In some cases, the state machines determine a timing or event trigger for when a signal flows between components.

- Capabilities: Modeling & simulation of signal flows; exports SysML state machine diagrams into state machines in Simulink’s Stateflow environment.
- The purpose of this example is to show how a SysML v1 model of a humidifier system, one that is trying to control the humidity in a room, can be created with state machines and signal flows. It is important to note that the signal flows between system components are unidirectional, and physical conservation laws do not apply in these applications because the same signal can be sent to multiple receiving components. In some cases, the state machines determine a timing or event trigger for when a signal flows between components.
- Circuit Example: Voltage Source, Resistors, Inductor, Capacitor
- The purpose of this example is to show how a simple SysML v1 model involving the flow of electric charge (current) from a voltage source to resistors, an inductor, and a capacitor can be exported into Modelica or Simulink/Simscape using the SysML extension plugin for signal flow and physical interaction. Though the documentation should lead to generating Modelica and Simulink/Simscape files from the SysML model, the already exported Modelica and Simulink/Simscape files are provided in the package as examples.

- Capabilities: Modeling & simulation of physical interactions; exports the SysML plugin's properties into flow and effort variables for Simulink’s Simscape toolbox (electrical domain).
- The purpose of this example is to show how a simple SysML v1 model involving the flow of electric charge (current) from a voltage source to resistors, an inductor, and a capacitor can be exported into Modelica or Simulink/Simscape using the SysML extension plugin for signal flow and physical interaction. Though the documentation should lead to generating Modelica and Simulink/Simscape files from the SysML model, the already exported Modelica and Simulink/Simscape files are provided in the package as examples.
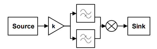
- Signal Processor Example: From Source to Sink
- The purpose of this example is to show a SysML v1 model of a signal processor, where a signal is sent from a function generator to be conditioned by an amplifier, frequency filters, and a mixer.

This example portrays the signal flows between system components. The signal flow is unidirectional, and physical conservation laws do not apply in these applications because the same signal can be sent to multiple receiving components. In this model, the function generator is being amplified and then sent to parallel filters (one high-pass filter and one low-pass filter), until the mixer combines the filtered signals for the final
signal processor output. Capabilities: Modeling & simulation of signal flows.
- The purpose of this example is to show a SysML v1 model of a signal processor, where a signal is sent from a function generator to be conditioned by an amplifier, frequency filters, and a mixer.
- Hydraulics Example: Two Tanks & A Pipe
The purpose of this example is to show how a simple SysML v1 model involving the flow of a fluid between two tanks can be exported into Modelica or Simulink/Simscape using the SysML extension plugin for signal flow and physical interaction. Though the documentation should lead to generating Modelica and Simulink/Simscape files from the SysML v1 model, the already-exported Modelica and Simulink/Simscape files are provided in the package as examples.

Capabilities: Modeling & simulation of physical interactions; exports the SysML v1 plugin properties into flow and effort variables for Simulink’s Simscape toolbox (mechanical domain).